Официальное опубликование правовых актов
ОФИЦИАЛЬНОЕ ОПУБЛИКОВАНИЕ
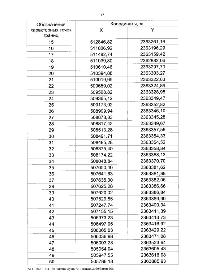
Закон Курганской области от 30.11.2020 № 115
"О внесении изменений в Закон Курганской области "Об установлении границ муниципального образования Чашинского сельсовета Каргапольского района Курганской области"
Номер опубликования: 4500202012010013
Дата опубликования: 01.12.2020
Страница №17 из 39:
Увеличить