Официальное опубликование правовых актов
ОФИЦИАЛЬНОЕ ОПУБЛИКОВАНИЕ
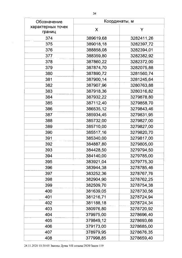
Закон Курганской области от 30.11.2020 № 110
"Об установлении границ муниципального образования Лебяжьевского муниципального округа Курганской области"
Номер опубликования: 4500202011300012
Дата опубликования: 30.11.2020
Страница №34 из 43:
Увеличить