Официальное опубликование правовых актов
ОФИЦИАЛЬНОЕ ОПУБЛИКОВАНИЕ
Закон Курганской области от 25.03.2020 № 25
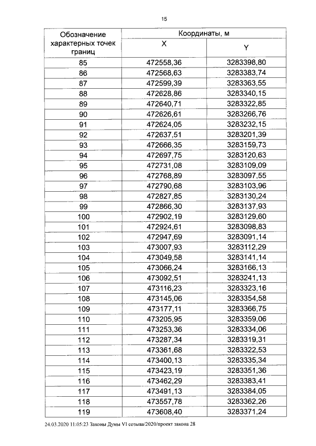
"О внесении изменений в Закон Курганской области "Об установлении границ муниципального образования Мокроусовского сельсовета Мокроусовского района Курганской области"
Номер опубликования: 4500202003270006
Дата опубликования: 27.03.2020
Страница №15 из 19:
Увеличить