Официальное опубликование правовых актов
ОФИЦИАЛЬНОЕ ОПУБЛИКОВАНИЕ
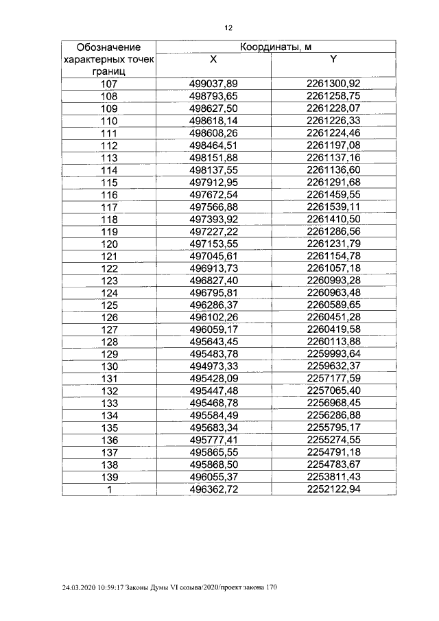
Закон Курганской области от 25.03.2020 № 22
"Об установлении границ муниципального образования Понькинского сельсовета Шадринского района Курганской области"
Номер опубликования: 4500202003270005
Дата опубликования: 27.03.2020
Страница №12 из 12:
Увеличить