Официальное опубликование правовых актов
ОФИЦИАЛЬНОЕ ОПУБЛИКОВАНИЕ
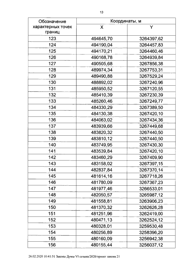
Закон Курганской области от 04.03.2020 № 11
"Об установлении границ муниципального образования сельского поселения Верхнесуерского сельсовета Варгашинского района Курганской области"
Номер опубликования: 4500202003040004
Дата опубликования: 04.03.2020
Страница №13 из 16:
Увеличить