Официальное опубликование правовых актов
ОФИЦИАЛЬНОЕ ОПУБЛИКОВАНИЕ
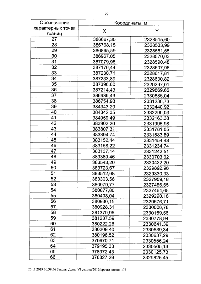
Закон Курганской области от 27.11.2019 № 168
"Об установлении границ муниципального образования города Куртамыша Куртамышского района Курганской области"
Номер опубликования: 4500201911290005
Дата опубликования: 29.11.2019
Страница №22 из 31:
Увеличить