Официальное опубликование правовых актов
ОФИЦИАЛЬНОЕ ОПУБЛИКОВАНИЕ
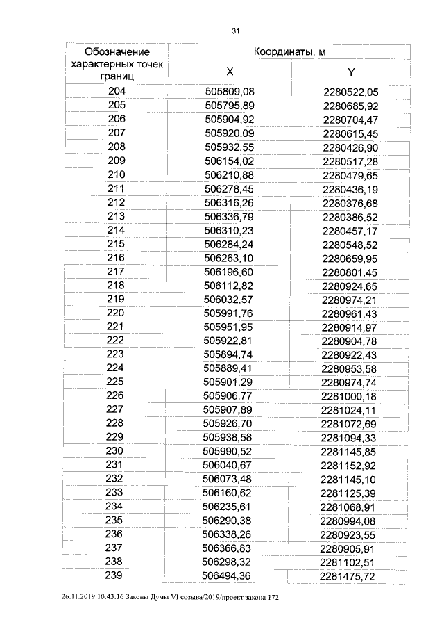
Закон Курганской области от 27.11.2019 № 167
"Об установлении границ муниципального образования Верхнеполевского сельсовета Шадринского района Курганской области"
Номер опубликования: 4500201911290003
Дата опубликования: 29.11.2019
Страница №31 из 42:
Увеличить