Официальное опубликование правовых актов
ОФИЦИАЛЬНОЕ ОПУБЛИКОВАНИЕ
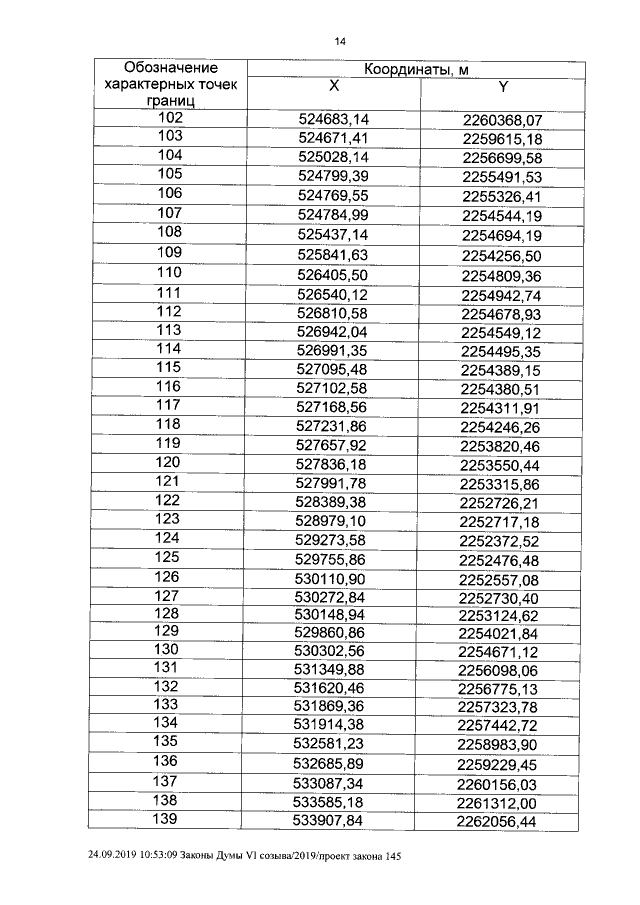
Закон Курганской области от 26.09.2019 № 140
"Об установлении границ муниципального образования Мальцевского сельсовета Шадринского района Курганской области"
Номер опубликования: 4500201909300010
Дата опубликования: 30.09.2019
Страница №14 из 15:
Увеличить