Официальное опубликование правовых актов
ОФИЦИАЛЬНОЕ ОПУБЛИКОВАНИЕ
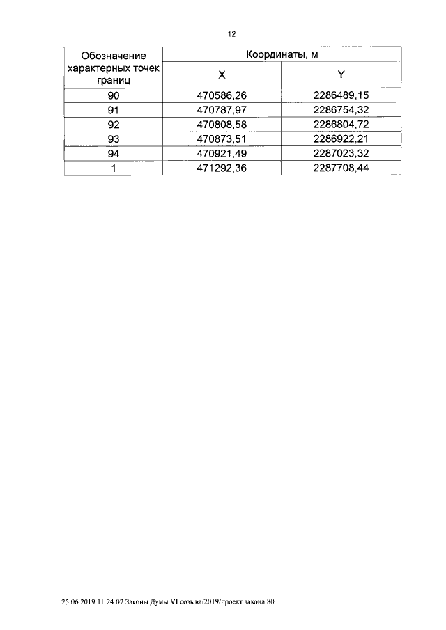
Закон Курганской области от 27.06.2019 № 116
"Об установлении границ муниципального образования Дубровинского сельсовета Мишкинского района Курганской области"
Номер опубликования: 4500201907020023
Дата опубликования: 02.07.2019
Страница №12 из 12:
Увеличить