Официальное опубликование правовых актов
ОФИЦИАЛЬНОЕ ОПУБЛИКОВАНИЕ
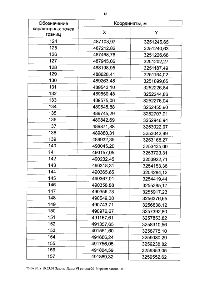
Закон Курганской области от 27.06.2019 № 105
"Об установлении границ муниципального образования Верхнесуерского сельсовета Варгашинского района Курганской области"
Номер опубликования: 4500201907020017
Дата опубликования: 02.07.2019
Страница №13 из 14:
Увеличить