Официальное опубликование правовых актов
ОФИЦИАЛЬНОЕ ОПУБЛИКОВАНИЕ
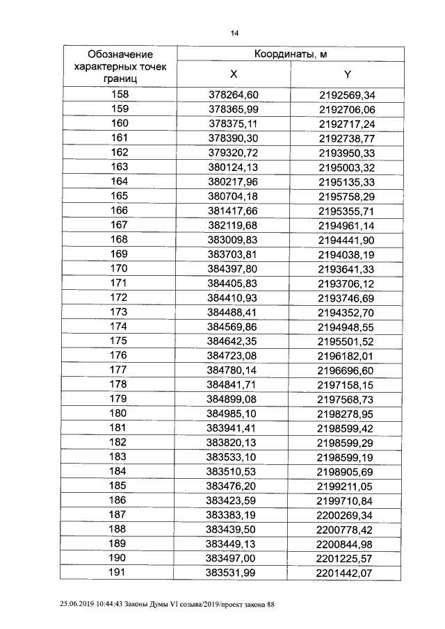
Закон Курганской области от 27.06.2019 № 102
"Об установлении границ муниципального образования Мартыновского сельсовета Сафакулевского района Курганской области"
Номер опубликования: 4500201907020014
Дата опубликования: 02.07.2019
Страница №14 из 15:
Увеличить