Официальное опубликование правовых актов
ОФИЦИАЛЬНОЕ ОПУБЛИКОВАНИЕ
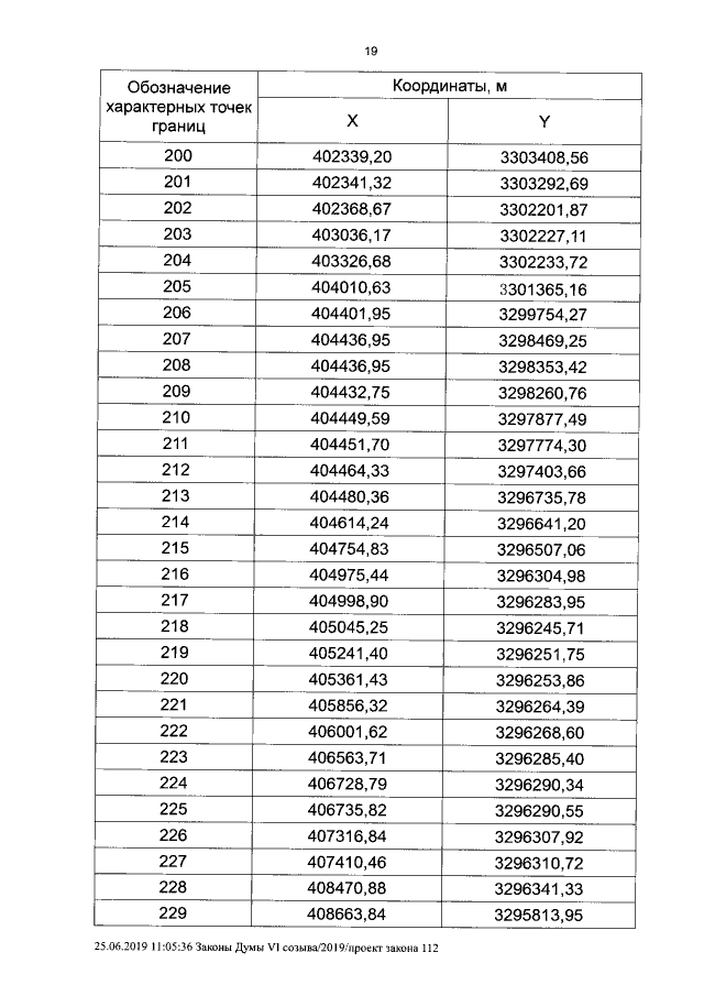
Закон Курганской области от 27.06.2019 № 109
"Об установлении границ муниципального образования Коноваловского сельсовета Макушинского района Курганской области"
Номер опубликования: 4500201907020009
Дата опубликования: 02.07.2019
Страница №19 из 21:
Увеличить