Официальное опубликование правовых актов
ОФИЦИАЛЬНОЕ ОПУБЛИКОВАНИЕ
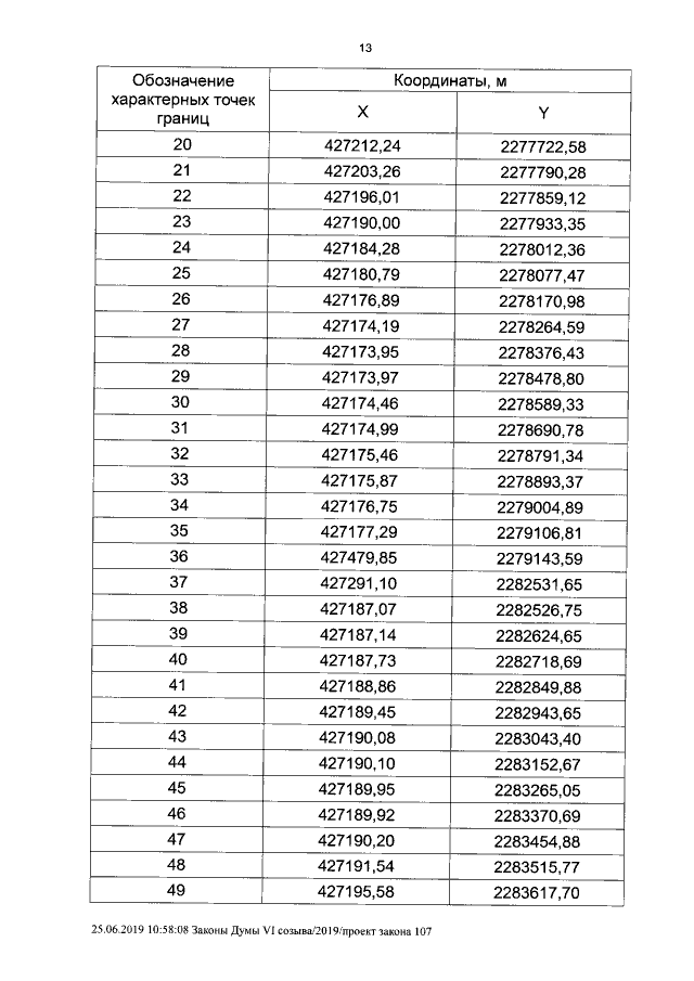
Закон Курганской области от 27.06.2019 № 107
"Об установлении границ муниципального образования Островнинского сельсовета Мишкинского района Курганской области"
Номер опубликования: 4500201907020006
Дата опубликования: 02.07.2019
Страница №13 из 20:
Увеличить