Официальное опубликование правовых актов
ОФИЦИАЛЬНОЕ ОПУБЛИКОВАНИЕ
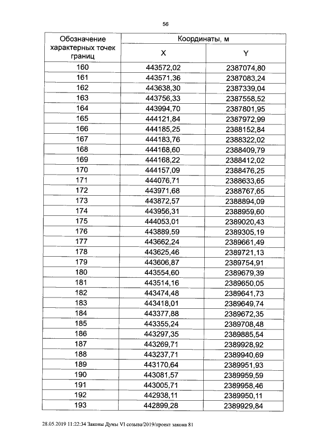
Закон Курганской области от 30.05.2019 № 84
"Об установлении границ муниципального образования города Кургана"
Номер опубликования: 4500201906030016
Дата опубликования: 03.06.2019
Страница №56 из 77:
Увеличить