Официальное опубликование правовых актов
ОФИЦИАЛЬНОЕ ОПУБЛИКОВАНИЕ
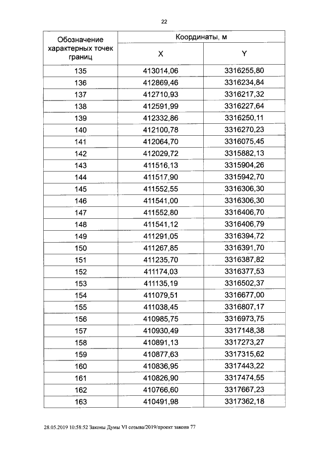
Закон Курганской области от 30.05.2019 № 79
"Об установлении границ муниципального образования города Макушино Макушинского района Курганской области"
Номер опубликования: 4500201906030007
Дата опубликования: 03.06.2019
Страница №22 из 27:
Увеличить