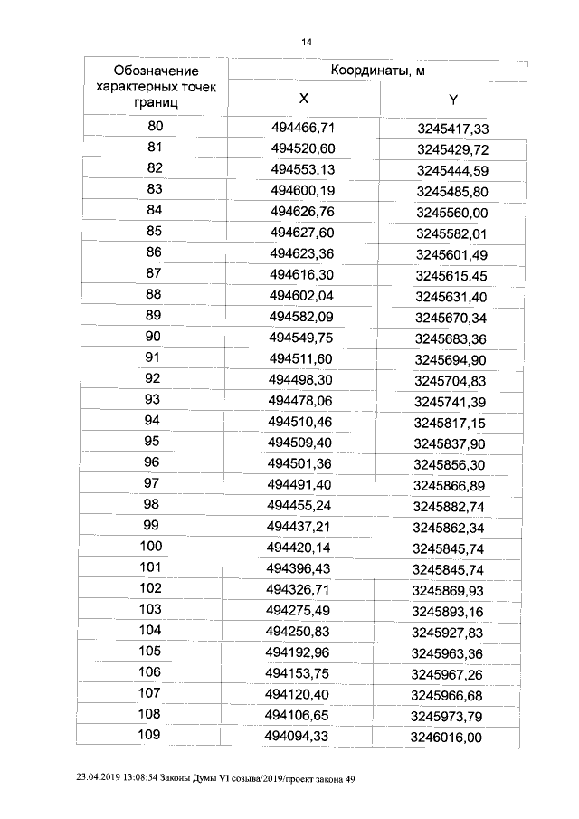
Закон Курганской области от 29.04.2019 № 55
"Об установлении границ муниципального образования Просековского сельсовета Варгашинского района Курганской области"
"Об установлении границ муниципального образования Просековского сельсовета Варгашинского района Курганской области"
Номер опубликования: 4500201905060029
Дата опубликования:
06.05.2019
