Официальное опубликование правовых актов
ОФИЦИАЛЬНОЕ ОПУБЛИКОВАНИЕ
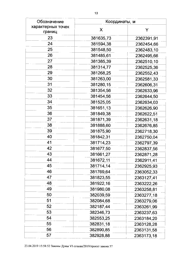
Закон Курганской области от 29.04.2019 № 62
"Об установлении границ муниципального образования Глядянского сельсовета Притобольного района Курганской области"
Номер опубликования: 4500201905060018
Дата опубликования: 06.05.2019
Страница №13 из 26:
Увеличить