Официальное опубликование правовых актов
ОФИЦИАЛЬНОЕ ОПУБЛИКОВАНИЕ
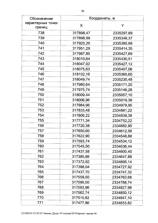
Закон Курганской области от 29.04.2019 № 50
"Об установлении границ муниципального образования Звериноголовского района Курганской области"
Номер опубликования: 4500201905060014
Дата опубликования: 06.05.2019
Страница №34 из 39:
Увеличить