Официальное опубликование правовых актов
ОФИЦИАЛЬНОЕ ОПУБЛИКОВАНИЕ
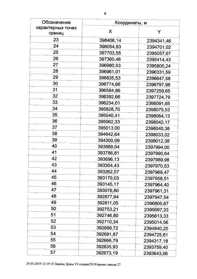
Закон Курганской области от 28.03.2019 № 38
"Об установлении границ муниципального образования Обуховского сельсовета Притобольного района Курганской области"
Номер опубликования: 4500201904020005
Дата опубликования: 02.04.2019
Страница №8 из 10:
Увеличить