Официальное опубликование правовых актов
ОФИЦИАЛЬНОЕ ОПУБЛИКОВАНИЕ
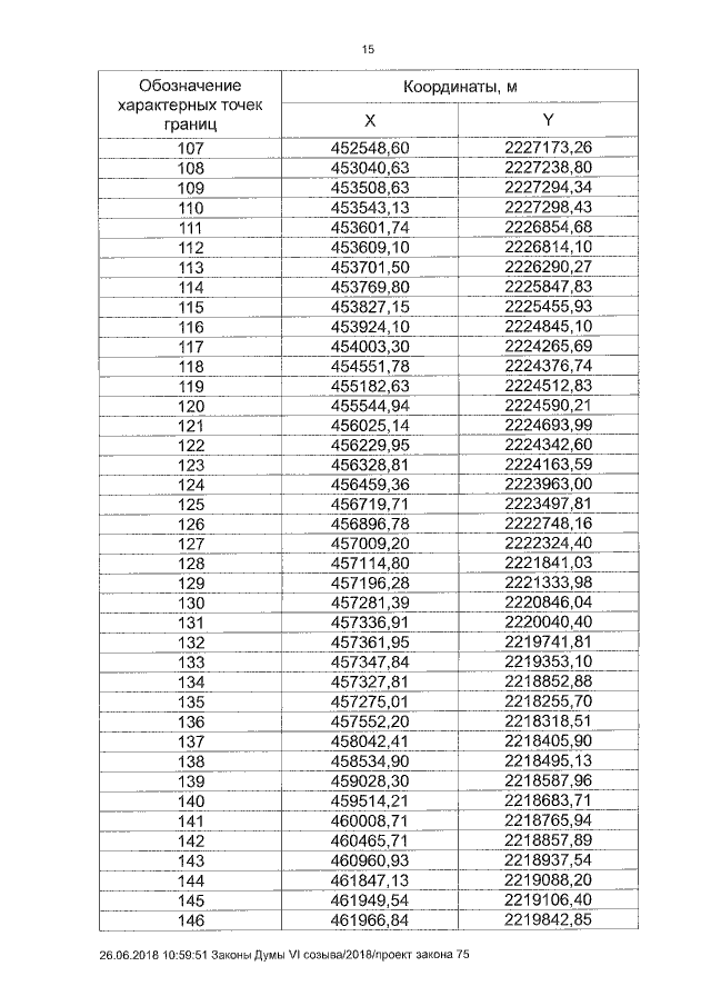
Закон Курганской области от 27.06.2018 № 84
"Об установлении границ муниципального образования Галкинского сельсовета Шумихинского района Курганской области"
Номер опубликования: 4500201806280004
Дата опубликования: 28.06.2018
Страница №15 из 19:
Увеличить