Официальное опубликование правовых актов
ОФИЦИАЛЬНОЕ ОПУБЛИКОВАНИЕ
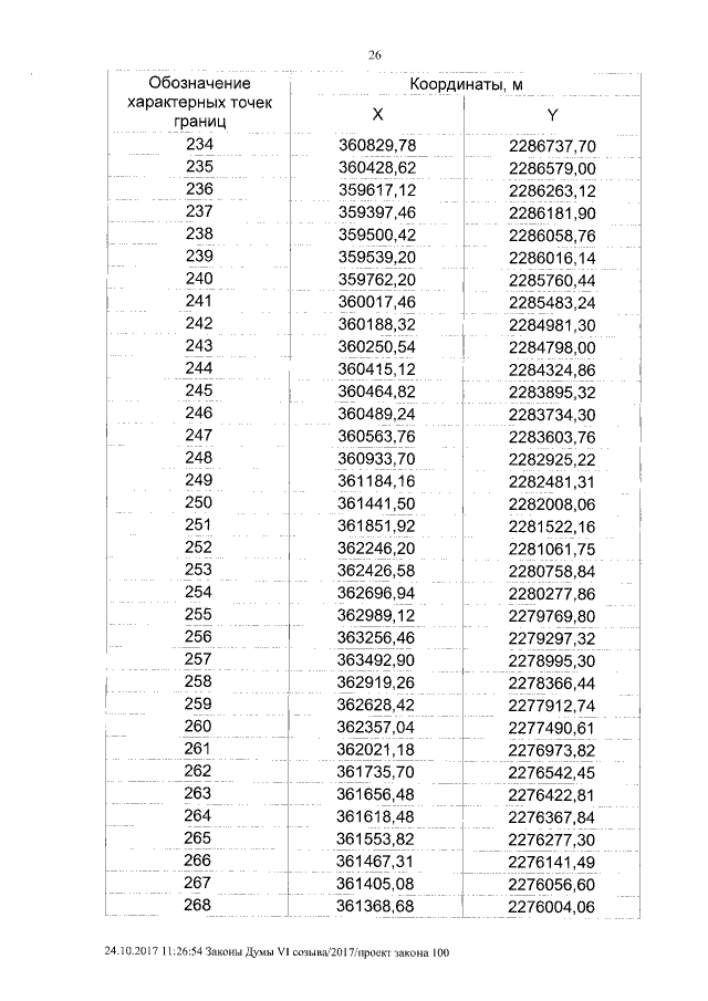
Закон Курганской области от 25.10.2017 № 94
"Об установлении границ муниципального образования Ягоднинского сельсовета Альменевского района Курганской области"
Номер опубликования: 4500201710270019
Дата опубликования: 27.10.2017
Страница №26 из 37:
Увеличить