Официальное опубликование правовых актов
ОФИЦИАЛЬНОЕ ОПУБЛИКОВАНИЕ
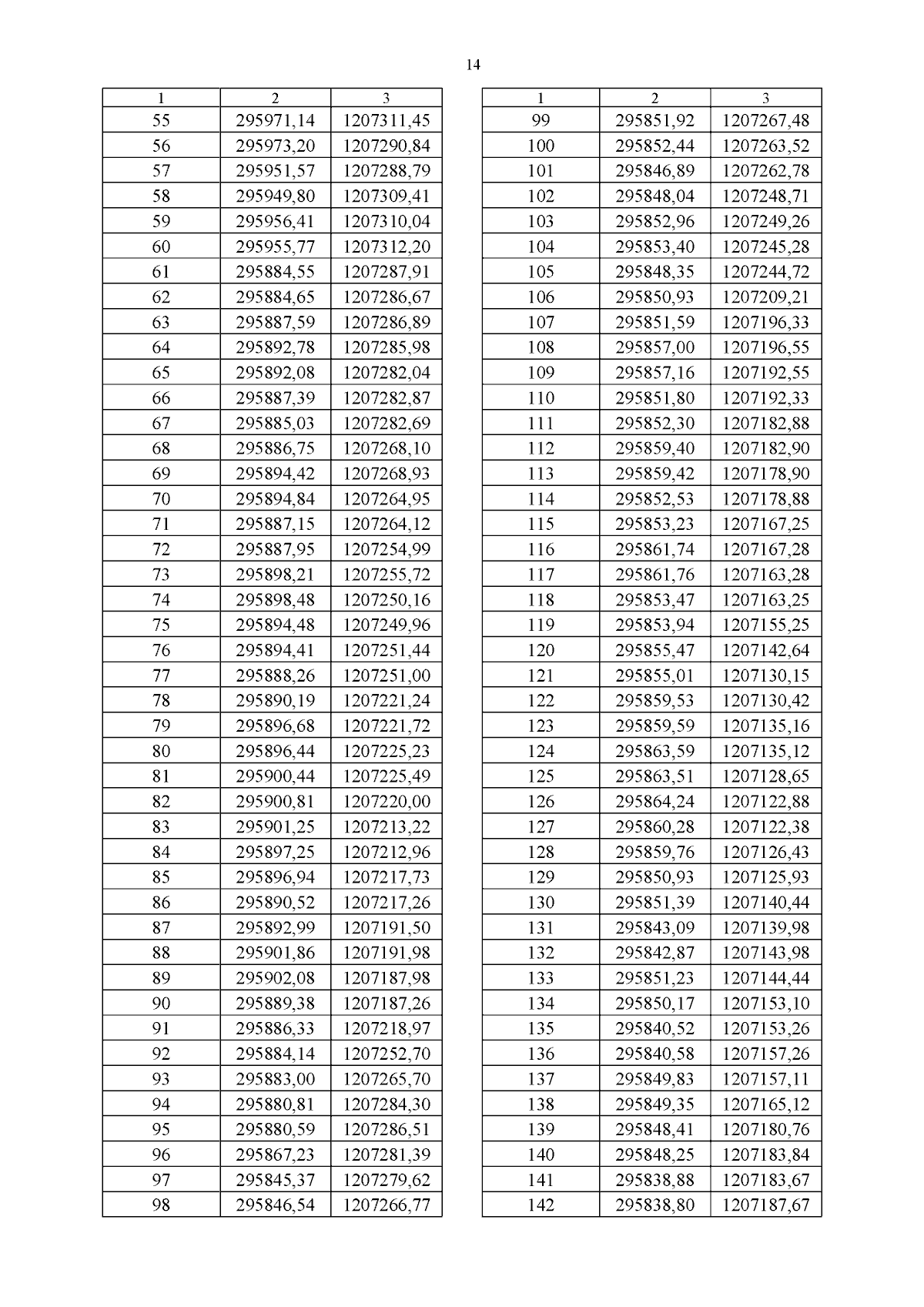
Приказ Департамента имущественных и земельных отношений Костромской области от 07.06.2024 № 81-од
"Об установлении охранных зон газопроводов газораспределительных сетей"
(Зарегистрирован 14.06.2024 № 297)
Номер опубликования: 4401202406170001
Дата опубликования: 17.06.2024
Страница №16 из 53:
Увеличить