Официальное опубликование правовых актов
ОФИЦИАЛЬНОЕ ОПУБЛИКОВАНИЕ
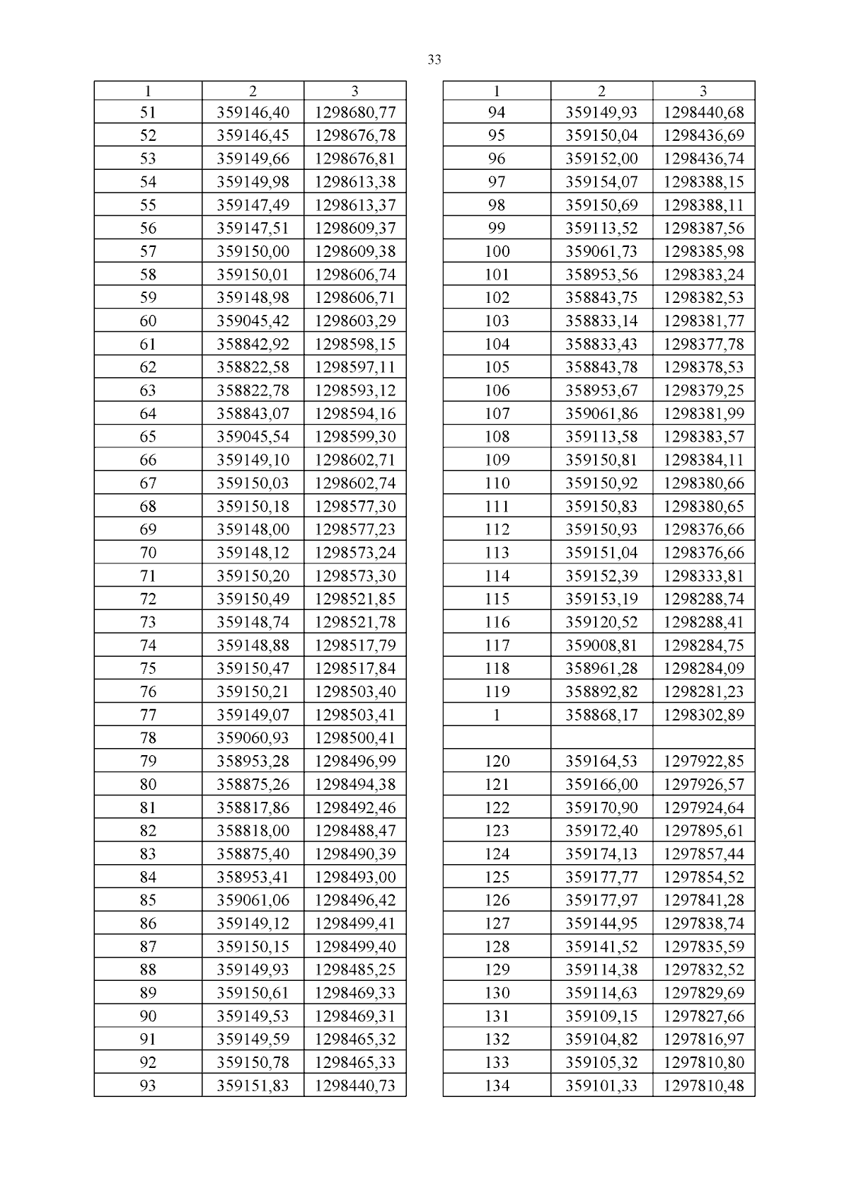
Приказ Департамента имущественных и земельных отношений Костромской области от 29.01.2024 № 16-од
"Об установлении охранных зон газопроводов газораспределительных сетей"
(Зарегистрирован 01.02.2024 № 51)
Номер опубликования: 4401202402020003
Дата опубликования: 02.02.2024
Страница №35 из 49:
Увеличить