Официальное опубликование правовых актов
ОФИЦИАЛЬНОЕ ОПУБЛИКОВАНИЕ
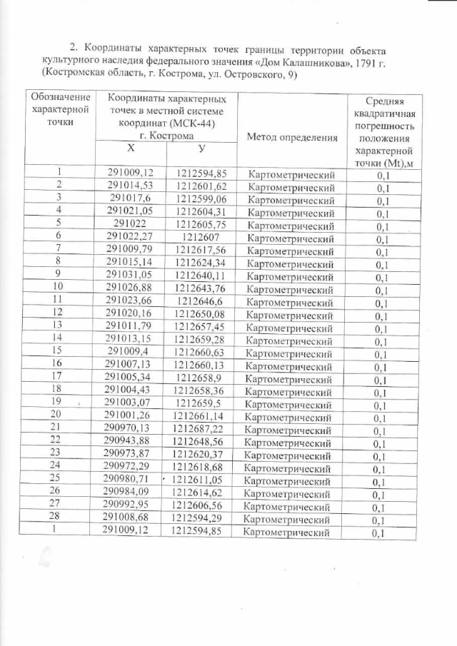
Приказ Инспекции по охране объектов культурного наследия Костромской области от 21.03.2023 № 11-НПА
"Об утверждении границы и правового режима использования территории объекта культурного наследия федерального значения "Дом Калашникова", 1791 г. (Костромская область, г.Кострома, ул.Островского,9)"
(Зарегистрирован 27.03.2023 № 78)
Номер опубликования: 4401202303300001
Дата опубликования: 30.03.2023
Страница №4 из 7:
Увеличить