Официальное опубликование правовых актов
ОФИЦИАЛЬНОЕ ОПУБЛИКОВАНИЕ
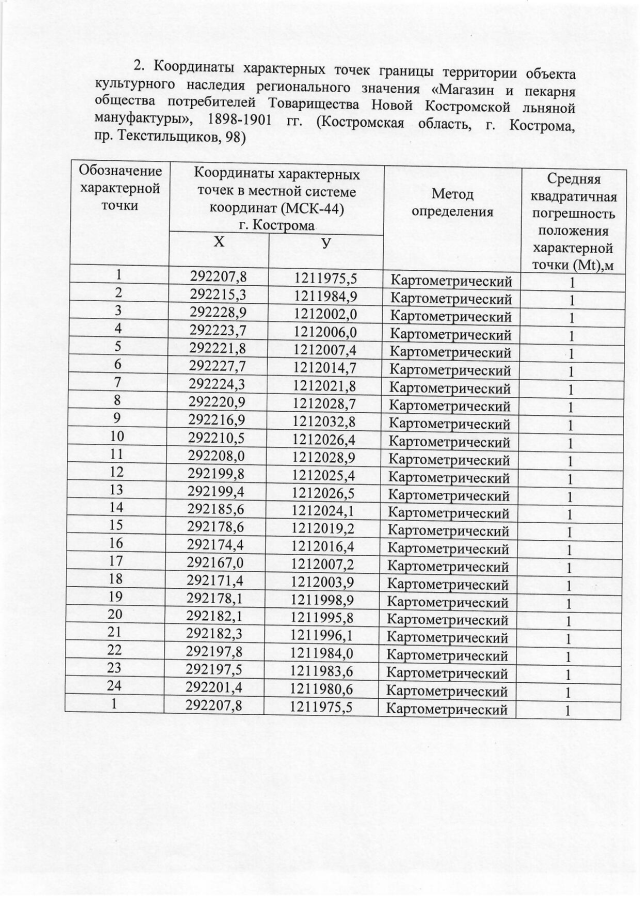
Приказ Инспекции по охране объектов культурного наследия Костромской области от 21.12.2022 № 250
"Об утверждении границы и правового режима использования территории объекта культурного наследия регионального значения "Магазин и пекарня общества потребителей Товарищества Новой Костромской льняной мануфактуры", 1898-1901 гг. (Костромская область, г. Кострома, пр. Текстильщиков, 98)"
Номер опубликования: 4401202212220003
Дата опубликования: 22.12.2022
Страница №4 из 7:
Увеличить