Официальное опубликование правовых актов
ОФИЦИАЛЬНОЕ ОПУБЛИКОВАНИЕ
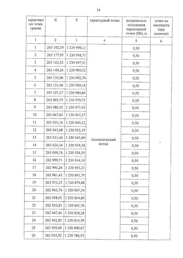
Приказ Департамента природных ресурсов и охраны окружающей среды Костромской области от 23.12.2021 № 437
"Об установлении зоны санитарной охраны"
Номер опубликования: 4401202112280006
Дата опубликования: 28.12.2021
Страница №15 из 20:
Увеличить