Официальное опубликование правовых актов
ОФИЦИАЛЬНОЕ ОПУБЛИКОВАНИЕ
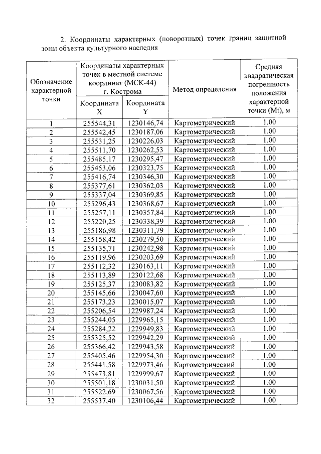
Приказ Инспекции по охране объектов культурного наследия Костромской области от 20.12.2021 № 192
"Об утверждении графического описания местоположения границ защитной зоны объекта культурного наследия федерального значения "Комплекс зданий: Главный дом", XVIII в. (Костромская область, Красносельский район, с. Сидоровское) с перечнем координат характерных точек этих границ в системе координат, установленной для ведения Единого государственного реестра недвижимости, режима использования земель в границах защитной зоны объектов культурного наследия"
Номер опубликования: 4401202112230002
Дата опубликования: 23.12.2021
Страница №4 из 5:
Увеличить