Официальное опубликование правовых актов
ОФИЦИАЛЬНОЕ ОПУБЛИКОВАНИЕ
Приказ Инспекции по охране объектов культурного наследия Костромской области от 20.12.2021 № 191
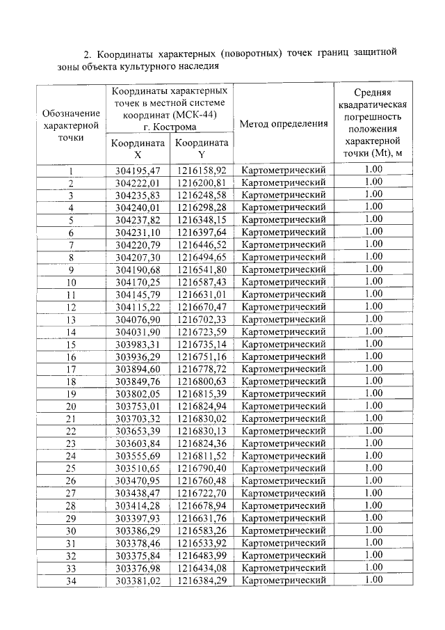
"Об утверждении графического описания местоположения границ защитной зоны объекта культурного наследия регионального значения "Флигель и парк в составе усадьбы Зузина А.И.", 1-я пол., сер. XIX в. (Костромской район, д. Денисово Апраксинской с.а.) с перечнем координат характерных точек этих границ в системе координат, установленной для ведения Единого государственного реестра недвижимости, режима использования земель в границах защитной зоны объектов культурного наследия"
Номер опубликования: 4401202112230001
Дата опубликования: 23.12.2021
Страница №4 из 5:
Увеличить