Приказ Инспекции по охране объектов культурного наследия Костромской области от 04.10.2021 № 139
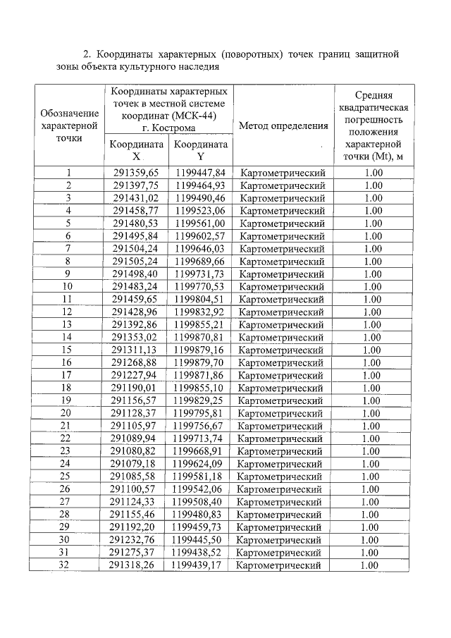
"Об утверждении графического описания местоположения границ защитной зоны объекта культурного наследия федерального значения "Никольская церковь", 1795 г. (Костромская область, Костромской район, с. Борщино) с перечнем координат характерных точек этих границ в системе координат, установленной для ведения Единого государственного реестра недвижимости, режима использования земель в границах защитной зоны объектов культурного наследия"
"Об утверждении графического описания местоположения границ защитной зоны объекта культурного наследия федерального значения "Никольская церковь", 1795 г. (Костромская область, Костромской район, с. Борщино) с перечнем координат характерных точек этих границ в системе координат, установленной для ведения Единого государственного реестра недвижимости, режима использования земель в границах защитной зоны объектов культурного наследия"
Номер опубликования: 4401202110040009
Дата опубликования:
04.10.2021
