Официальное опубликование правовых актов
ОФИЦИАЛЬНОЕ ОПУБЛИКОВАНИЕ
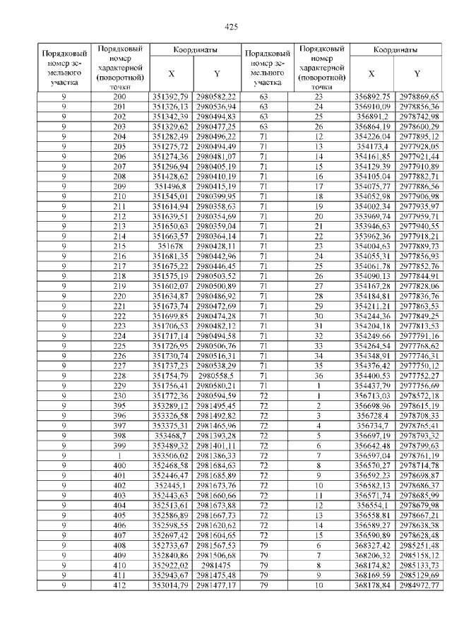
Постановление Департамента лесного хозяйства Костромской области от 13.09.2021 № 10
"О внесении изменения в лесохозяйственный регламент Антроповского лесничества Костромской области, утвержденный постановлением департамента лесного хозяйства Костромской области от 19.12.2016 № 14"
Номер опубликования: 4401202109140001
Дата опубликования: 14.09.2021
Страница №426 из 444:
Увеличить