Официальное опубликование правовых актов
ОФИЦИАЛЬНОЕ ОПУБЛИКОВАНИЕ
Приказ Инспекции по охране объектов культурного наследия Костромской области от 26.08.2021 № 122
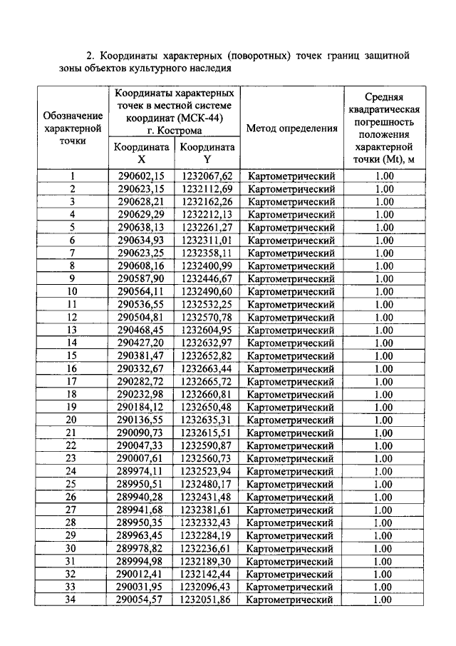
"Об утверждении графического описания местоположения границ защитной зоны объектов культурного наследия регионального значения "Усадьба "Следово", в которой жили общественные деятели Карцевы, где бывал русский гидрограф Д.Л. Овцын и располагалась сельскохозяйственная школа земства, ХIХ в.‚ 1910-1917 гг.: Главный дом, 2-я пол. ХIХ в.; Жилой дом, 2-я пол. ХIХ в.; Флигель, 2-я пол. ХIХ в.; Парк, сер. ХIХ в." (Костромская область, Судиславский район, д. Следово) с перечнем координат характерных точек этих границ в системе координат, установленной для ведения Единого государственного реестра недвижимости, режима использования земель в границах защитной зоны объектов культурного наследия"
Номер опубликования: 4401202108300004
Дата опубликования: 30.08.2021
Страница №4 из 5:
Увеличить