Официальное опубликование правовых актов
ОФИЦИАЛЬНОЕ ОПУБЛИКОВАНИЕ
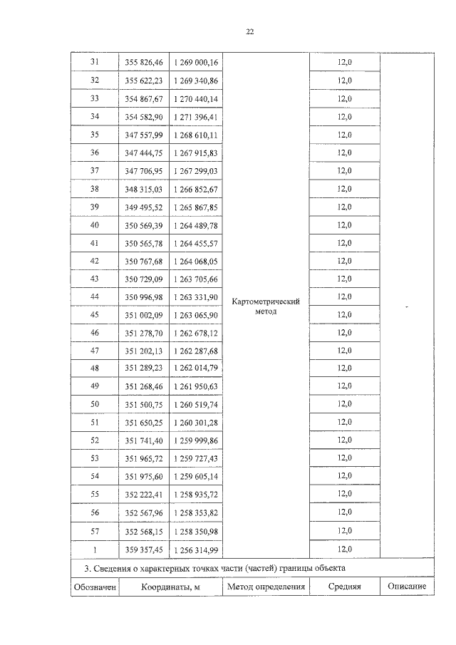
Приказ Департамента природных ресурсов и охраны окружающей среды Костромской области от 20.08.2021 № 277
"Об установлении зоны санитарной охраны"
Номер опубликования: 4401202108270001
Дата опубликования: 27.08.2021
Страница №23 из 25:
Увеличить