Официальное опубликование правовых актов
ОФИЦИАЛЬНОЕ ОПУБЛИКОВАНИЕ
Приказ Инспекции по охране объектов культурного наследия Костромской области от 29.07.2021 № 105
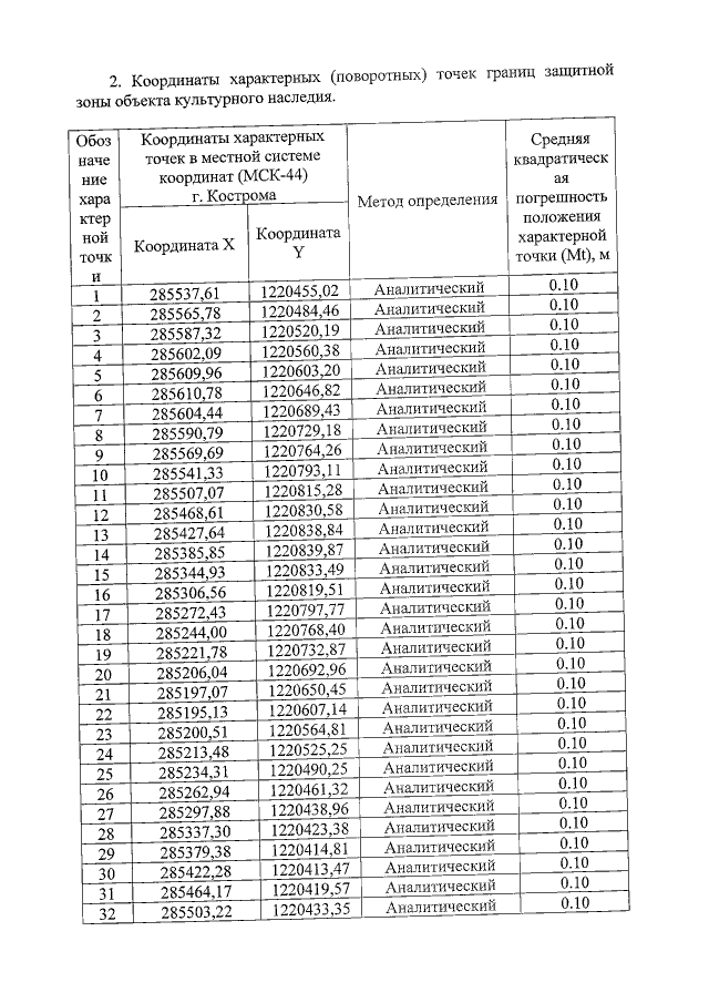
"Об утверждении графического описания местоположения границ защитной зоны объекта культурного наследия федерального значения "Никольская церковь", 1790 г. (Костромская область, Костромской район, с. Николо - Трестино) с перечнем координат характерных точек этих границ в системе координат, установленной для ведения Единого государственного реестра недвижимости, режима использования земель в границах защитной зоны объектов культурного наследия"
Номер опубликования: 4401202107300003
Дата опубликования: 30.07.2021
Страница №4 из 5:
Увеличить