Официальное опубликование правовых актов
ОФИЦИАЛЬНОЕ ОПУБЛИКОВАНИЕ
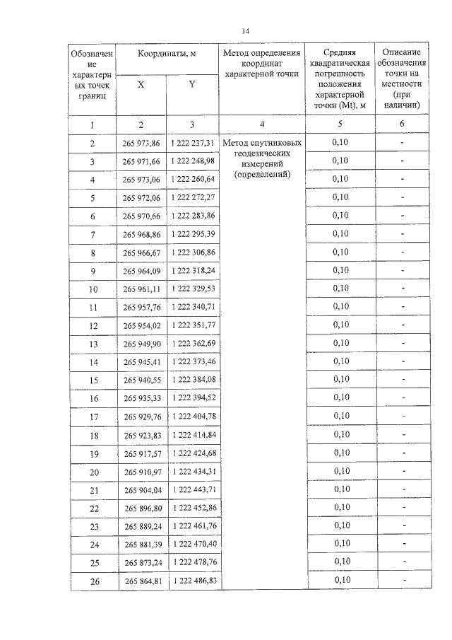
Приказ Департамента природных ресурсов и охраны окружающей среды Костромской области от 07.05.2021 № 149
"Об установлении зоны санитарной охраны"
Номер опубликования: 4401202105110002
Дата опубликования: 11.05.2021
Страница №16 из 24:
Увеличить