Официальное опубликование правовых актов
ОФИЦИАЛЬНОЕ ОПУБЛИКОВАНИЕ
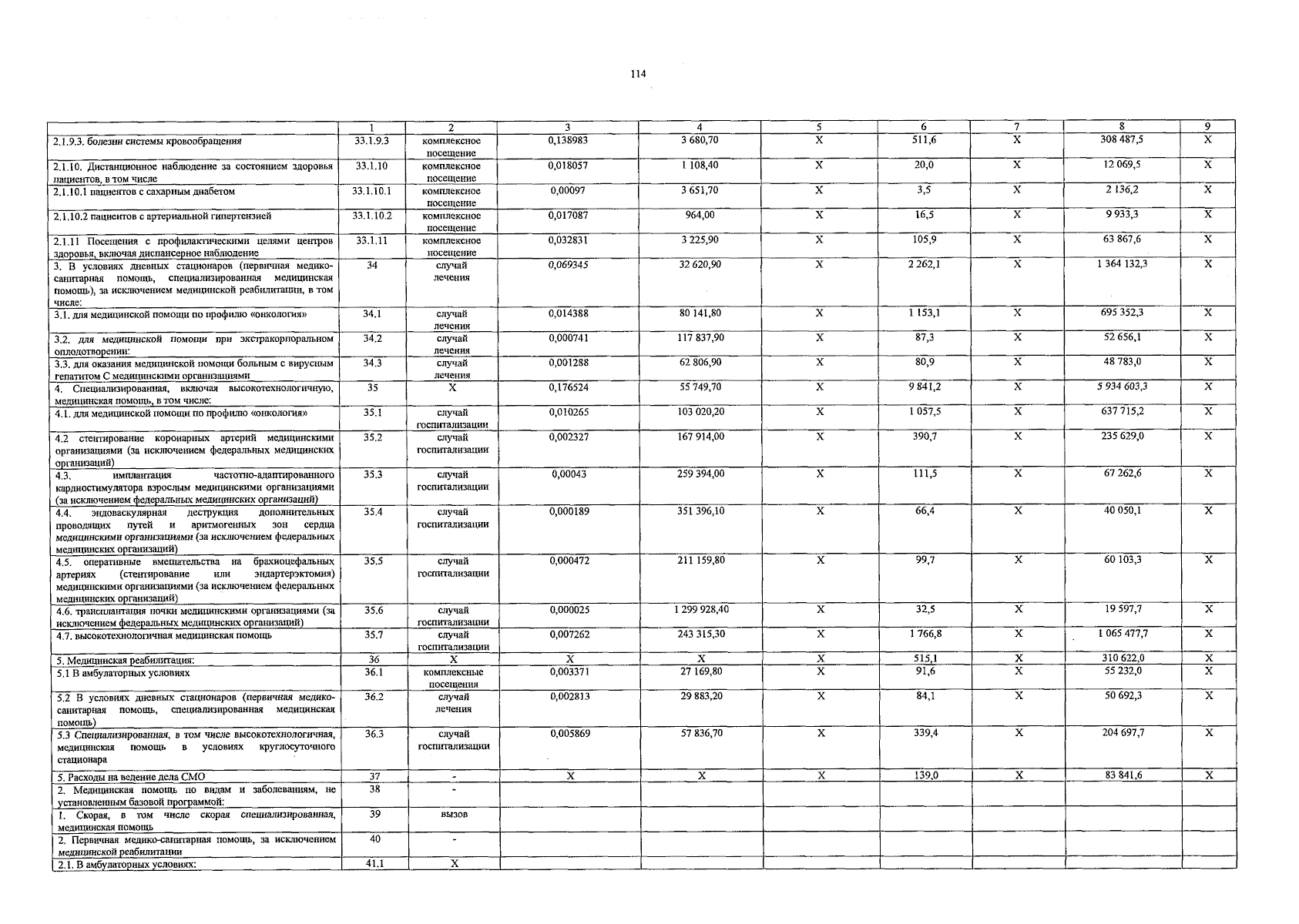
Постановление администрации Костромской области от 20.04.2026 № 132-а
"О внесении изменений в программу государственных гарантий бесплатного оказания гражданам медицинской помощи в Костромской области"
Номер опубликования: 4400202604200005
Дата опубликования: 20.04.2026
Страница №117 из 197:
Увеличить