Официальное опубликование правовых актов
ОФИЦИАЛЬНОЕ ОПУБЛИКОВАНИЕ
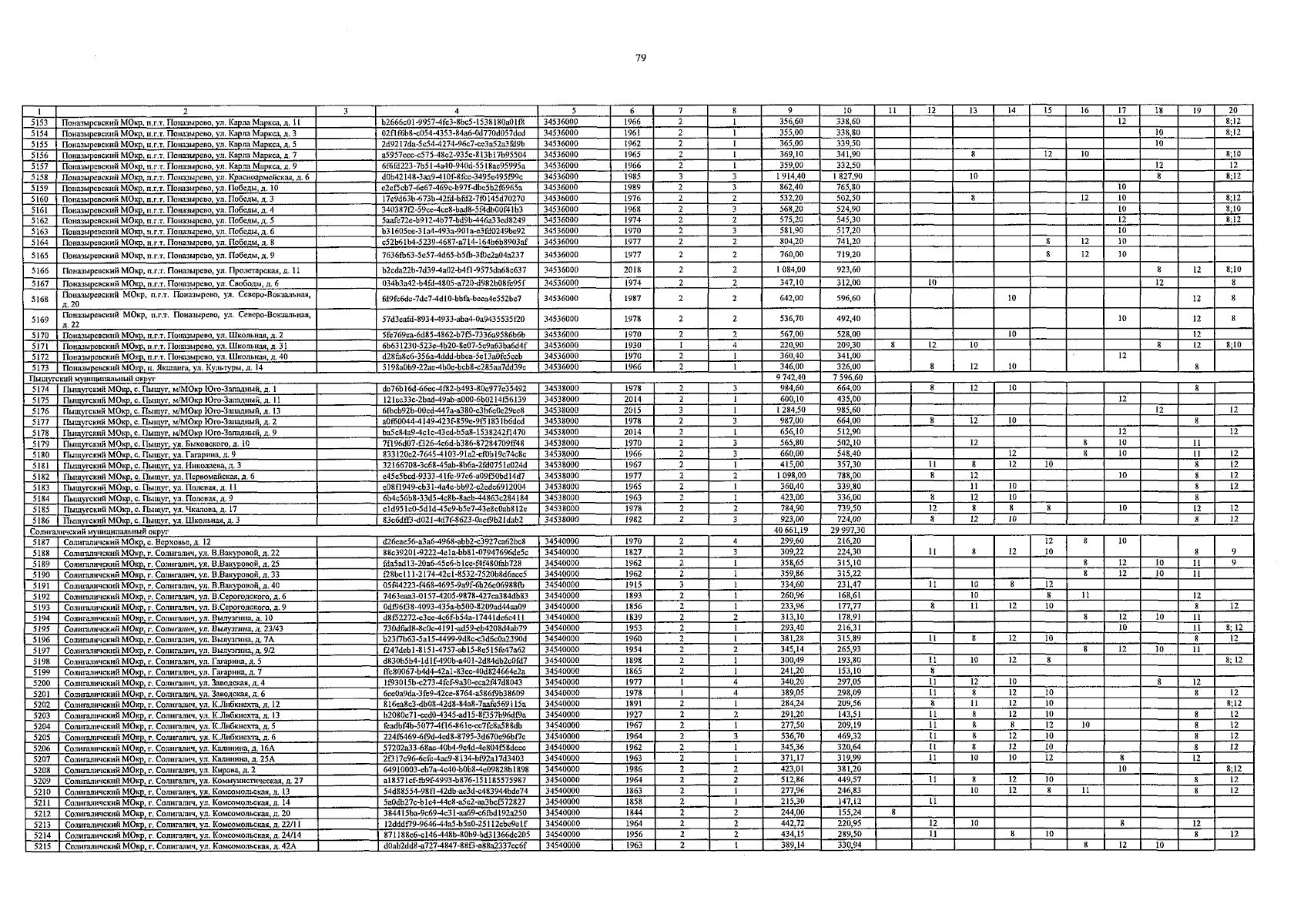
Постановление администрации Костромской области от 08.12.2025 № 493-а
"О внесении изменений в региональную программу капитального ремонта общего имущества в многоквартирных домах"
Номер опубликования: 4400202512080007
Дата опубликования: 08.12.2025
Страница №81 из 86:
Увеличить