Официальное опубликование правовых актов
ОФИЦИАЛЬНОЕ ОПУБЛИКОВАНИЕ
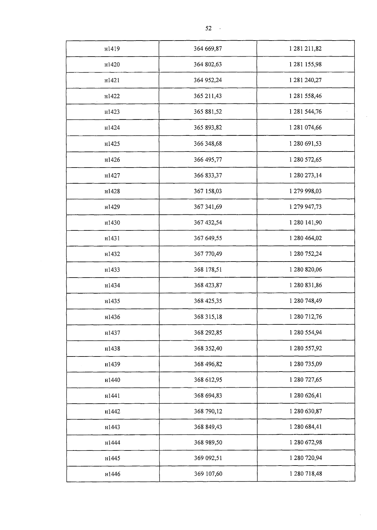
Постановление администрации Костромской области от 09.06.2025 № 232-а
"О преобразовании особо охраняемой природной территории регионального значения государственного природного заказника "Галичский"
Номер опубликования: 4400202506090017
Дата опубликования: 09.06.2025
Страница №54 из 56:
Увеличить