Официальное опубликование правовых актов
ОФИЦИАЛЬНОЕ ОПУБЛИКОВАНИЕ
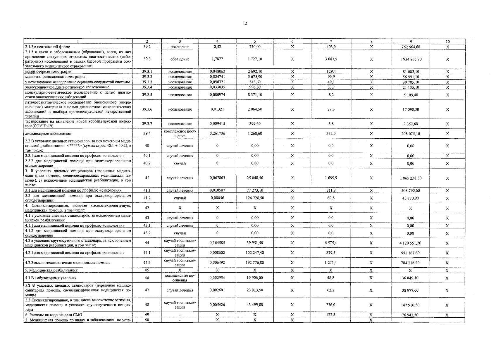
Постановление администрации Костромской области от 20.12.2023 № 591-а
"О внесении изменений в программу государственных гарантий бесплатного оказания гражданам медицинской помощи в Костромской области на 2023 год и на плановый период 2024 и 2025 годов"
Номер опубликования: 4400202312200001
Дата опубликования: 20.12.2023
Страница №14 из 28:
Увеличить