Официальное опубликование правовых актов
ОФИЦИАЛЬНОЕ ОПУБЛИКОВАНИЕ
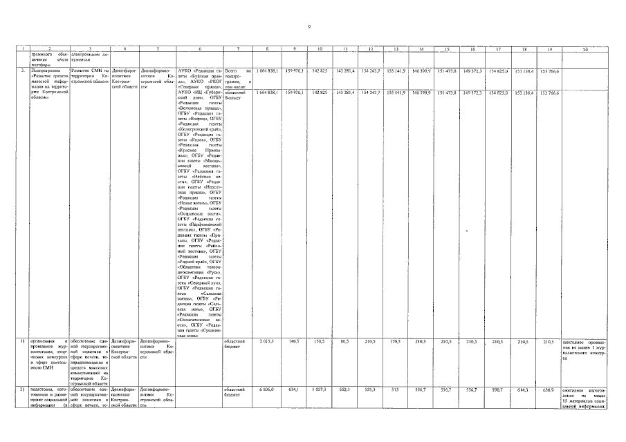
Постановление администрации Костромской области от 05.06.2023 № 217-а
"О внесении изменений в постановление администрации Костромской области от 31.07.2014 № 322-а"
Номер опубликования: 4400202306060002
Дата опубликования: 06.06.2023
Страница №22 из 59:
Увеличить