Официальное опубликование правовых актов
ОФИЦИАЛЬНОЕ ОПУБЛИКОВАНИЕ
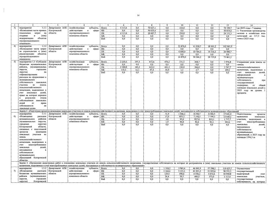
Постановление администрации Костромской области от 03.04.2023 № 127-а
"О внесении изменений в постановление администрации Костромской области от 27.08.2018 № 354-а"
Номер опубликования: 4400202304040004
Дата опубликования: 04.04.2023
Страница №25 из 65:
Увеличить