Официальное опубликование правовых актов
ОФИЦИАЛЬНОЕ ОПУБЛИКОВАНИЕ
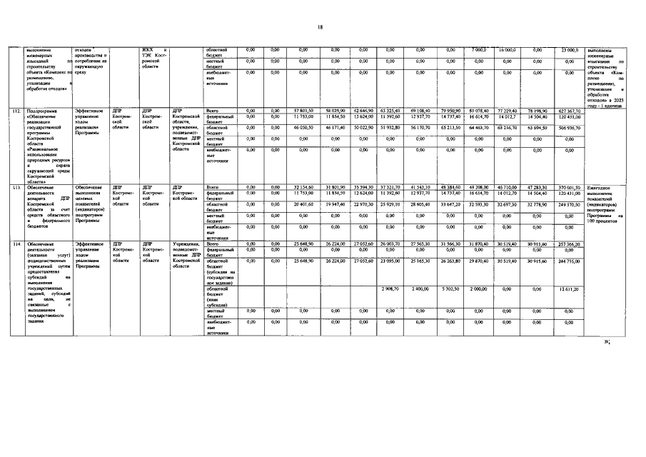
Постановление администрации Костромской области от 27.03.2023 № 97-а
"О внесении изменений в постановление администрации Костромской области от 09.01.2014 № 1-а"
Номер опубликования: 4400202303270006
Дата опубликования: 27.03.2023
Страница №18 из 27:
Увеличить