Официальное опубликование правовых актов
ОФИЦИАЛЬНОЕ ОПУБЛИКОВАНИЕ
Постановление администрации Костромской области от 26.12.2022 № 653-а
"О внесении изменений в постановление администрации Костромской области от 27.08.2018 № 354-а"
Номер опубликования: 4400202212270002
Дата опубликования: 27.12.2022
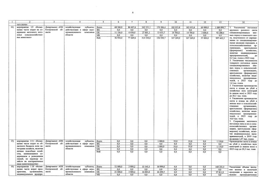
Страница №23 из 91:
Увеличить