Официальное опубликование правовых актов
ОФИЦИАЛЬНОЕ ОПУБЛИКОВАНИЕ
Постановление администрации Костромской области от 19.12.2022 № 640-а
"О внесении изменений в постановление администрации Костромской области от 18.08.2015 № 301-а"
Номер опубликования: 4400202212190007
Дата опубликования: 19.12.2022
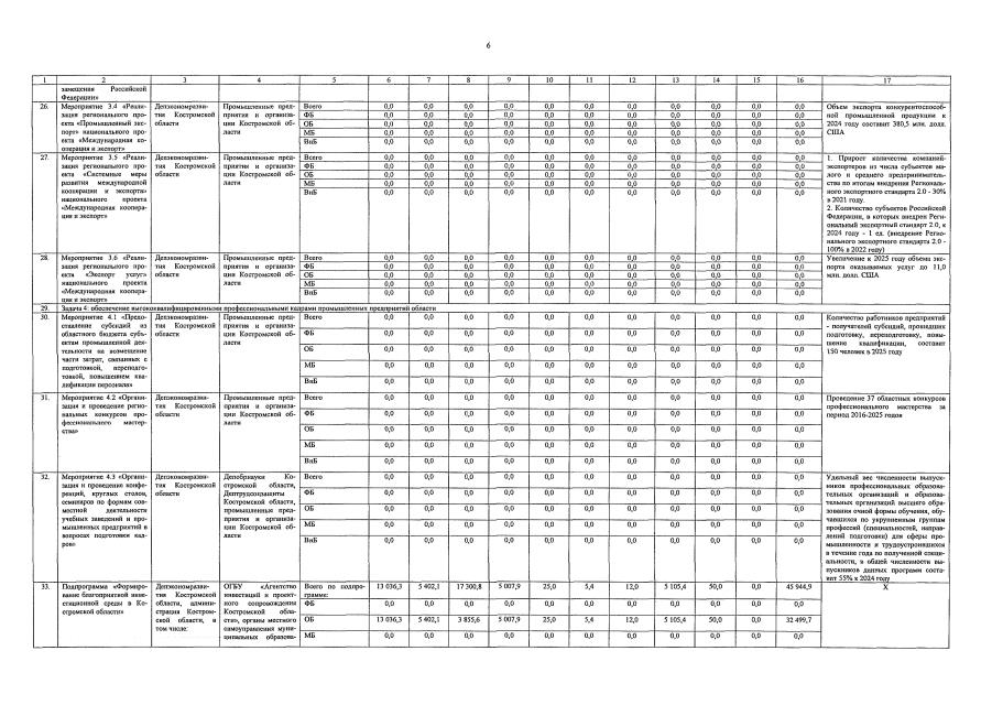
Страница №21 из 59:
Увеличить