Официальное опубликование правовых актов
ОФИЦИАЛЬНОЕ ОПУБЛИКОВАНИЕ
Постановление администрации Костромской области от 29.08.2022 № 428-а
"О внесении изменений в постановление администрации Костромской области от 24.06.2014 № 262-а"
Номер опубликования: 4400202208300005
Дата опубликования: 30.08.2022
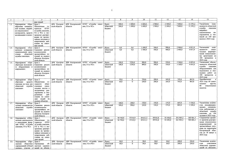
Страница №12 из 31:
Увеличить