Официальное опубликование правовых актов
ОФИЦИАЛЬНОЕ ОПУБЛИКОВАНИЕ
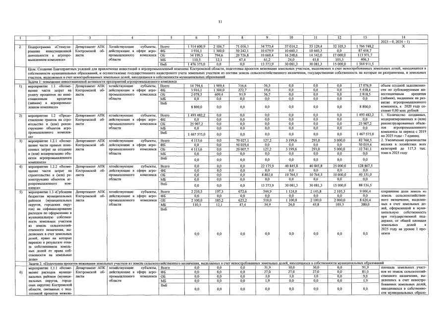
Постановление администрации Костромской области от 29.08.2022 № 434-а
"О внесении изменений в постановление администрации Костромской области от 27.08.2018 № 354-а"
Номер опубликования: 4400202208300001
Дата опубликования: 30.08.2022
Страница №24 из 67:
Увеличить