Официальное опубликование правовых актов
ОФИЦИАЛЬНОЕ ОПУБЛИКОВАНИЕ
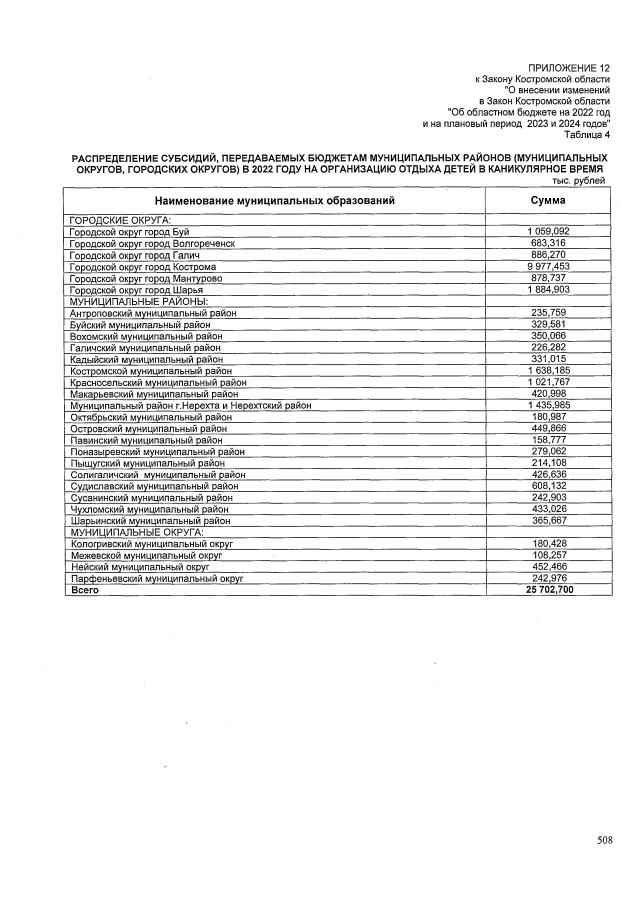
Закон Костромской области от 12.07.2022 № 229-7-ЗКО
"О внесении изменений в Закон Костромской области "Об областном бюджете на 2022 год и на плановый период 2023 и 2024 годов"
Номер опубликования: 4400202207120022
Дата опубликования: 12.07.2022
Страница №508 из 555:
Увеличить