Официальное опубликование правовых актов
ОФИЦИАЛЬНОЕ ОПУБЛИКОВАНИЕ
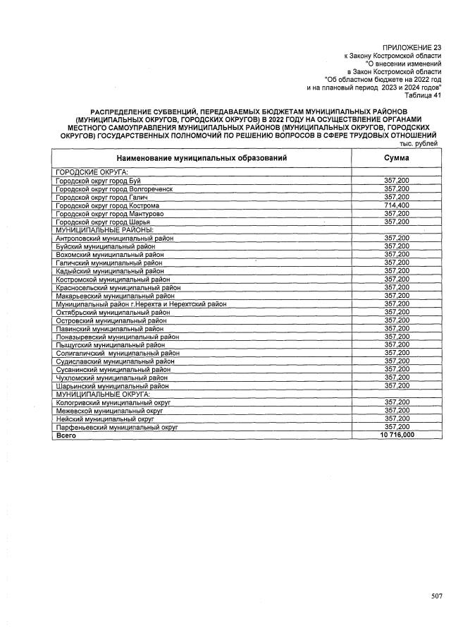
Закон Костромской области от 26.04.2022 № 194-7-ЗКО
"О внесении изменений в Закон Костромской области "Об областном бюджете на 2022 год и на плановый период 2023 и 2024 годов"
Номер опубликования: 4400202204260033
Дата опубликования: 26.04.2022
Страница №507 из 532:
Увеличить