Официальное опубликование правовых актов
ОФИЦИАЛЬНОЕ ОПУБЛИКОВАНИЕ
Постановление администрации Костромской области от 14.03.2022 № 84-а
"О внесении изменений в постановление администрации Костромской области от 27.07.2016 № 267-а"
Номер опубликования: 4400202203140006
Дата опубликования: 14.03.2022
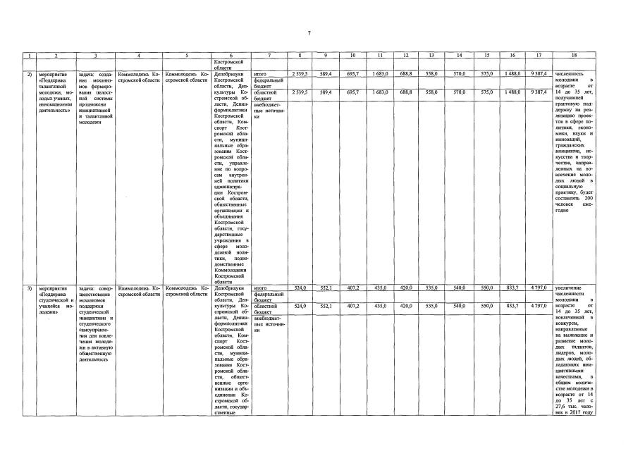
Страница №13 из 28:
Увеличить