Официальное опубликование правовых актов
ОФИЦИАЛЬНОЕ ОПУБЛИКОВАНИЕ
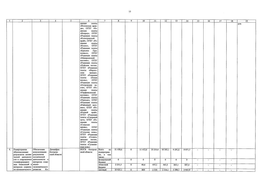
Постановление администрации Костромской области от 27.12.2021 № 619-а
"О внесении изменений в постановление администрации Костромской области от 31.07.2014 № 322-а"
Номер опубликования: 4400202112280021
Дата опубликования: 28.12.2021
Страница №28 из 58:
Увеличить