Официальное опубликование правовых актов
ОФИЦИАЛЬНОЕ ОПУБЛИКОВАНИЕ
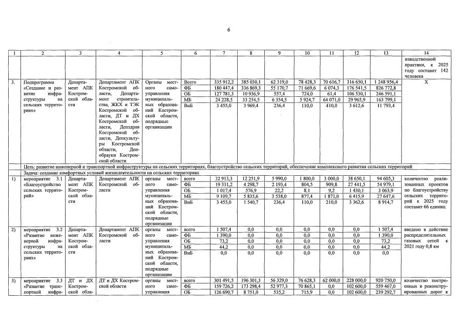
Постановление администрации Костромской области от 27.12.2021 № 607-а
"О внесении изменений в постановление администрации Костромской области от 23.12.2019 № 513-а"
Номер опубликования: 4400202112280004
Дата опубликования: 28.12.2021
Страница №31 из 45:
Увеличить